登录
/
注册
首页
论坛
其它
首页
科技
业界
安全
程序
广播
Follow
关于
导读
排行榜
资讯
发帖说明
登录
/
注册
账号
自动登录
找回密码
密码
登录
立即注册
搜索
搜索
关闭
CSDN热搜
程序园
精品问答
技术交流
资源下载
本版
帖子
用户
软件
问答
教程
代码
写记录
写博客
小组
VIP申请
VIP网盘
网盘
联系我们
发帖说明
道具
勋章
任务
淘帖
动态
分享
留言板
导读
设置
我的收藏
退出
腾讯QQ
微信登录
社区
›
业界区
›
科技
科技
今日:
167
|
主题:
1347
收藏本版
(
0
)
推荐主题
使用WireGuard建立虚拟局域网(以联机游戏)
zip伪加密writeup
算法day32-动态规划(5)完全背包问题
BUUCTF-Web方向21-25wp
Trae中Qwen3-Coder-Plus模型
掌握 Spring Cloud Gateway 的 13 种路由方式:轻松构建灵活微服务网关
《ESP32-S3使用指南—IDF版 V1.6》第三章 ESP32-S3基础知识
HTB打靶记录-Administrator
算法day03-链表篇(1)
CTFHub技能树-信息泄露wp
2025-5-11 模拟赛
新窗
综合排序
最新主题
热门推荐
精选内容
需求评审总是漏?测试工程师的“找茬”清单请收好
“这个需求文档里没写啊!” “这个逻辑漏掉了,开发的时候没想到这种情况。” “这个功能上线后才发现有问题,需求评审时怎么没人提?” 这些对话是否似曾相识?作为测试工程师,我们在项目中最常遇到的困境之一就是:需求评审时看似一 ...
谧怏弦
2 小时前
1023
0
3
从星链到数字样机:直升机智能化升级的双引擎
直升机作为一种多功能航空器,凭借其垂直起降、空中悬停的独特优势,在军事、民用、救援等多个领域发挥着重要作用。然而,受制于传统通信导航性能瓶颈与机械系统脆弱性叠加效应,直升机在复杂环境下仍面临通信中断、导航精度不足、数据 ...
绘纵
2 小时前
1000
0
6
读算法简史:从美索不达米亚到人工智能时代12推荐算法
1. 马克·扎克伯格 1.1. Mark Zuckerberg 1.2. 1984年出生于纽约州怀特普莱恩斯 1.3. 在他读初中时,他的父亲教会了他如何编程 [*]1.3.1. 后来,他父亲雇用了一位专业的程序员来指导他 1.4. 进入了哈佛大学,并入选了计算机科学 ...
孜稞
2 小时前
923
0
5
某豪猪发的 “跑通了!Deepseek 自动生成测试用例,太牛了!”
写在前面昨天刷手机,偶然刷到篇文章——《跑通了!Deepseek自动生成测试用例,太牛了!》,标题看着就很抓人,立马点进去瞅了瞅。里面配了好几张图,风格先不说,单说文件的类名,居然是中文的……这风格,怎么看都像机构号出品。没见过 ...
丝甲坞
2 小时前
502
0
3
2025年全网最深入讲解大模型备案【附:评估测试题+备案参考文件】
文章目录 (一)适用主体 (二)语料安全 (三)模型安全 (四)安全措施要求 (五)词库要求 (六)安全评估要求 (七)附录大模型备案材料源文件 2024年3月1日,我国通过了《生成式人工智能服务安全基本要求》(以下简称《AIGC安全要 ...
后彼
3 小时前
659
0
4
【软件测试】等待的艺术:详解显式等待与隐式等待,告别time.sleep!
各位测试同仁,你是否还在为自动化测试脚本中的各种“元素未找到”、“交互失败”而头疼?是否在你的脚本里随处可见 time.sleep(10) 这样的“魔法数字”? 今天,我们就来深入探讨Selenium等待机制的核心艺术,彻底抛弃低效的 time.sl ...
慕疼
3 小时前
634
0
1
政务与企业网络安全防御方案
以下是对网络安全防御方案的深度重构,从战略规划到技术落地进行全维度拆解,包含可量化的实施指标和场景化解决方案: 一、资产与风险治理体系(3周) 1.1 智能资产发现 技术实施: 深度措施: [*]动态资产库构建:部署ServiceNow CMD ...
忙贬
3 小时前
262
0
7
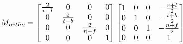
【Unity】投影矩阵和线性深度推导
【Unity】投影矩阵和线性深度推导 网络上有很多投影矩阵的推导,也有很多声称是基于 Unity 的,但和我的实测都不一致(现在看来是因为这些文章并不全面),此外有一些 Unity 本身的函数我也搞不懂它的原理,遂最终选择自行研究,总算把 ...
祝娜娜
3 小时前
895
0
6
GLM-4.6与DeepSeek-V3.2-Exp发布
GLM-4.6 GLM-4.6是智谱AI于2025年9月30日发布并开源的新一代大模型,在核心能力上实现显著提升,尤其在代码生成、长上下文处理及智能体应用等方面表现突出. GLM-4.6 是智谱最新的旗舰模型,其总参数量 355B,激活参数 32B。GLM-4.6 ...
磁呃泵
3 小时前
379
0
6
关于所谓的对赌类软件项目反思
背景 部分小公司老板由于不懂IT,当老板“只会”与员工对赌时,这确实是一个巨大的危险信号,短期可能有些效果,但长期来看,这种单一、极端的管理方式几乎没有真正的“前途”可言,对公司和员工都是如此。 它反映出的是管理 ...
嗣伐
3 小时前
524
0
4
常见应用层DDoS攻击
本文分享自天翼云开发者社区《常见应用层DDoS攻击》,作者:罗****文 DDoS(分布式拒绝服务)应用层攻击是一种针对网络应用层的攻击方式。应用层是网络协议栈中最高级别的层次,负责处理用户与网络应用之间的交互。 在应用层攻击中,攻 ...
明思义
3 小时前
279
0
3
CodeFormer一款既能图像修复、还能视频增强去码的AI软件(下载介绍)
CodeFormer是一款强大的人工智能工具,主要用于图像和视频的修复和增强。它基于深度学习技术,特别是人脸复原模型,可以轻松修复和增强面部图像,提升照片和视频的质量和视觉效果 工作原理 1、通过自动编码器实现人脸的变换,包括色彩化 ...
谅潭好
3 小时前
506
0
2
adb无线连接,真正不用usb线
app逆向过程中,我们通常采用usb线连接手机,这有一定的缺点 [*]电脑插根usb线很麻烦 占用一个口 [*]usb线的质量还得够好 长期下来,线总是会坏的 我发现本来都要连在局域网内,何不直接无线调试; 于是查了下资料 操作步骤:(条件adb ...
岑韬哎
3 小时前
1053
0
2
大模型Prompt提示语设计技巧
Prompt设计原则及使用技巧 原则一:编写清晰、具体的指令。 清晰的表达需求,提供充足上下文,使语言模型能够准确理解我们意图。基于此原则衍生出的技巧 [*]使用分隔符清晰地表示输入地不同部分。 提示词注入:用户输入的文本可能包 ...
沃盼盼
3 小时前
529
0
1
4.1基本放大电路
一、基本放大电路 [*]放⼤电路的基本概念和放⼤电路的主要性能指标 [*]放⼤的概念 [*]定义:将信号能量进⾏加强的电路称为放⼤电路,本章仅讨论模拟信号放⼤ [*]应⽤场景:主要⽤于放⼤微弱信号(如声⾳信号等) [*]能量来源:输出信 ...
颜才
3 小时前
521
0
5
读算法简史:从美索不达米亚到人工智能时代02古老的算法
1. 苏美尔 1.1. 位于苏美尔地区的乌鲁克,是最古老的城市之一 1.2. 文字似乎是从印刻在湿黏土陶筹上的简单记号发展而来的 [*]1.2.1. 陶筹是用来记录库存与货物交换的 [*]1.2.2. 一个陶筹可能等同于一定数量的获得物或者一定头数 ...
士沌
3 小时前
108
0
4
高密度任务下的挑战与破局:数字样机助力火箭发射提效提质
2025年4月1日12时,在酒泉卫星发射中心,长征二号丁运载火箭顺利升空,成功将一颗卫星互联网技术试验卫星送入预定轨道,发射任务圆满完成。这是长征二号丁火箭的第97次发射,也是长征系列火箭的第567次发射。 执行本次任务的长征二号 ...
冷晓晴
3 小时前
189
0
6
SDP架构在零信任中的实践
本文分享自天翼云开发者社区《SDP架构在零信任中的实践》,作者:thleen CSA《SDP标准规范1.0》给出的SDP的定义是:“SDP旨在使应用程序所有者能够在需要时部署安全边界,以便将服务与不安全的网络隔离开来,SDP将物理设备替换为在 ...
电棘缣
3 小时前
847
0
3
华为OD 机考 2025 B卷 真题目录
真题目录 本专栏所有算法题全部包含详细的思路讲解以及JS、C++、Python、Go、java 源码实现,提供在线OJ网站进行在线刷题服务,订阅专栏之后,私信开通。 华为OD机考2025年5月9号机考切换至2025B卷,近期准备机考的优先刷2025B卷题库, ...
骆贵
3 小时前
651
0
5
高度可定制的跨平台日历库
Calendar Library 一个为Android和Compose Multiplatform设计的高度可定制的日历库,基于RecyclerView(视图系统)和LazyRow/LazyColumn(Compose)实现。 项目链接地址:https://github.com/kizitonwose/Calendar.git 功能特性 [*]多 ...
痕伯
3 小时前
1130
0
6
下一页 »
1
2
3
4
5
6
7
8
9
10
... 68
/ 68 页
下一页
返 回
快速发帖
还可输入
80
个字符
高级模式
B
Color
Image
Link
Quote
Code
Smilies
您需要登录后才可以发帖
登录
|
立即注册
本版积分规则
发表帖子
转播给听众
发帖
科技
收藏
1347
本版主题
0
收藏人数
板块介绍填写区域,请于后台编辑
财富榜{圆}
anyue1937
9994893
kk14977
6845356
3934307807
991123
4
xiangqian
638210
5
韶又彤
9999
6
宋子
9983
7
闰咄阅
9993
8
刎唇
9993
9
俞瑛瑶
9998
10
蓬森莉
9951
查看更多
社区公告
本月热榜
774
AI浏览器Comet用户体验测试
34
揭开Claude Opus 4.5神秘面纱
38
CodeWiki评估大型代码库整体文档生成能力思
92
十大奠基论文(一):一文读懂《Attention
382
千问快速review评审Java工程代码与异步代码
502
某豪猪发的 “跑通了!Deepseek 自动生成测
261
轻量化网络中的知识蒸馏技术
994
VUE前端项目规范.md---大模型辅助开发使用
32
SWE-smith规模化生成软件工程训练数据
442
吴恩达深度学习课程四:计算机视觉
23
Trae Agent三步解决软件难题
327
2025 年 12 月 GEO 服务商 TOP5 评测:分晰
447
股票资金流向获取工具!无限制查询,Hawk下
209
AiStudio才是Gemini模型的编程真身!
730
喂饭级教程 —— 基于 OceanBase seekdb 构
35
六顶思考帽深度解析AI赋能代码生成技术
883
AgentFounder浅析——Agent的演化历程与目
718
吴恩达深度学习课程三: 结构化机器学习项
402
2025年11月份博文汇总与视频
563
实战利用LLM辅助小程序逆向与HTTP报文漏洞