登录
/
注册
首页
论坛
其它
首页
科技
业界
安全
程序
广播
Follow
关于
导读
排行榜
资讯
发帖说明
登录
/
注册
账号
自动登录
找回密码
密码
登录
立即注册
搜索
搜索
关闭
CSDN热搜
程序园
精品问答
技术交流
资源下载
本版
帖子
用户
软件
问答
教程
代码
写记录
写博客
小组
VIP申请
VIP网盘
网盘
联系我们
发帖说明
道具
勋章
任务
淘帖
动态
分享
留言板
导读
设置
我的收藏
退出
腾讯QQ
微信登录
社区
›
业界区
›
业界
业界
今日:
658
|
主题:
10933
收藏本版
(
0
)
推荐主题
应急响应-日志分析
当自己真的发布一款产品
HEIF:更高质量、更小体积,开启 HarmonyOS 图像新体验
阿里巴巴为什么禁止超过3张表join?
Claude Code 官方内部团队最佳实践!
hot100之数组
开发的设计和重构,为开发效率服务
Windows桌面应用自动更新解决方案SharpUpdater5发布
精读 GitHub - servo 浏览器(一)
历劫波,明真我——Debug Commune
[原创]《C#高级GDI+实战:从零开发一个流程图》第06章:繁琐?没扩展性?抽象!抽象!
新窗
综合排序
最新主题
热门推荐
精选内容
Java SolonMCP 实现 MCP 实践全解析:SSE 与 STDIO 通信模式详解
一、MCP简介 MCP(Model Context Protocol,模型上下文协议)是由Anthropic公司于2024年推出的开放标准,旨在统一AI模型与外部数据源、工具之间的通信方式。MCP提供了一套规范化的接口,使大语言模型(LLM)能够更便捷地与各类外部工具 ...
栓州
7 天前
301
0
5
ManySpeech.MoonshineAsr 使用指南
一、简介 ManySpeech.MoonshineAsr 是 ManySpeech 语音处理套件中一个专门用于moonshine 模型推理的语音识别组件,其使用 c# 开发,底层调用 Microsoft.ML.OnnxRuntime 对 onnx 模型进行解码。具备以下特点: [*]环境兼容性:支持 n ...
梁宁
7 天前
977
0
4
Django Session
Django 提供了一个强大的会话(Session)系统,用于在多个请求之间存储和检索用户特定的数据。 1、系统结构 1.1 代码结构 1.2 工作原理 [*]当用户首次访问时,Django 创建一个唯一的 session ID [*]这个 ID 通常通过 cookie 发送到客 ...
府扔影
7 天前
471
0
5
深度剖析RQ-VAE:从向量量化到生成式推荐的语义ID技术
深度剖析RQ-VAE:从向量量化到生成式推荐的语义ID技术 引言 近年来,大规模推荐系统正经历一场深刻的范式演进,其趋势是从传统的双塔召回模型(Dual-Encoder + ANN)向更为灵活和强大的生成式检索(Generative Retrieval)范式迁移。后 ...
思矿戳
7 天前
257
0
2
lora芯片PCB电路板影响接受信号的原因汇总
Lora芯片的PCB板受力接收信号有问题可能有以下原因: 电路板设计问题:电路板的设计不合理可能导致信号接收出现问题。例如,电路板的天线布局、走线可能影响到信号的接收效果。在设计电路板时,需要考虑到天线的布局、走线、接地等细节, ...
姥恫
7 天前
492
0
5
【光照】[PBR][漫反射]实现方法对比
【从UnityURP开始探索游戏渲染】专栏-直达 URP BRDF漫反射方法对比 具体实现方法及示例 Lambert模型(URP默认) Half-Lambert(Valve改进版) Disney Diffuse(URP Lit.shader使用) URP实际使用情况 [*]默认采用方案: [*]S ...
稼布欤
7 天前
1026
0
3
解锁C#异步编程:async/await实战指南,告别卡顿烦恼
豺独
7 天前
73
0
5
为什么要使用微服务架构?
一、传统的单体架构 1、什么是单体架构? 单体架构(Monolithic Architecture)是一种传统的软件架构模式,将整个应用程序作为一个单一的、统一的单元进行开发、部署和扩展。在单体架构中,所有的功能模块都被打包在一起,共享同一个代码 ...
梁丘眉
7 天前
804
0
4
Nuxt.js 应用中的 restart 事件钩子详解
title: Nuxt.js 应用中的 restart 事件钩子详解 date: 2024/10/14 updated: 2024/10/14 author: cmdragon excerpt: restart 方法是 Nuxt.js 中用于重启当前实例的重要功能。该方法允许开发者在需要时快速重启应用,可以选择执行“硬重 ...
鄂缮输
7 天前
783
0
1
如何在统信系统中将 Avalonia 软件程序打包 Deb 安装包
一、简介 太久没有写博客了,不是不想写,而是太忙了。最近我在使用 Avalonia UI 框架开发一个跨平台的应用程序,Avalonia 本身来说,还好了,社区很活跃,文档也很齐全。但是在统信系统中部署和打包 Avalonia 程序为安装包,我 ...
劳暄美
7 天前
820
0
3
关于智能体(AI Agent),不得不看的一篇总结(建议收藏)
嗳诿
7 天前
65
0
2
对 String 的几个错误认识
对 String 的几个错误认识 昨天调试一段程序发现内存始终释放不掉,最后终于发现是对String 的错误使用造成,这促使我今天又仔细研究了一下String类型,不研究不知道,一研究发现我过去对String 的很多认识都是错误的,感觉这种 ...
谧怏弦
7 天前
855
0
1
PHP 8.5 升级指南 了解即将废弃的 11 个功能和完整迁移方案
PHP 8.5 升级指南 了解即将废弃的 11 个功能和完整迁移方案 PHP 8.5 计划于 2025 年 11 月 20 日发布,带来了新功能、语法改进,当然还有废弃功能。废弃就是告诉你某些语言特性、函数或行为要在未来版本(通常是 PHP 9.0)中被移除或变 ...
岭猿
7 天前
443
0
1
通过chrome插件自动生成博客评论,高效发外链
最近crazy cattle 3d这个词爆火,很多人都在做,竞争异常激烈,甚至可以说是惨不忍睹。从最近的数据看,胜出的主要是crazycattle3d.com, crazycattle3d.io, crazy-cattle-3d.com这几个,流量最高的crazycattle3d.com已经接近80万!他们的 ...
后仲舒
7 天前
837
0
3
第三人称——骑马系统以及交互动画
骑马系统 人物在马上的脚本 马的部分——插件:Horse Animset Pro Riding System 4.0.1.unitypackage 状态机设置 先学习怎么做场景交互 以常见的开宝箱交互为例: 1)先建一个可开盖宝箱的模型 2)在Box的子级中建立一个空的Game ...
孟清妍
7 天前
1011
0
3
机器学习主要算法全称整理
博客地址:https://www.cnblogs.com/zylyehuo/ 参考 《动手学深度学习》第二版 参考 【王树森】深度强化学习(DRL) MLP [*]感知机 -- Perceptron [*]多层感知机 -- MLP -- Multi-Layer Perceptron CNN(通常用于图片) [*]卷积神经网 ...
酒跚骼
7 天前
341
0
5
REVM移植小记
之前做过的一些部署移植的工作,基本都是用C++语言写的,在后来我学了一些Rust,并且慢慢熟悉了Rust的工具链,最近也在尝试部署一些Rust的开源项目到OpenEuler RISC-V操作系统上(我们团队叫OERV)。 REVM是一个用Rust编写的以太 ...
扈怀易
7 天前
948
0
3
Web性能优化:从 2 秒到秒开
前不久发布了个人笔记软件 Nebula Note 的Web预览版(传送门),整体开发体验和使用效果都很满意。但作为Web工程师的我习惯性的打开了浏览器开发者工具的Network面板,主要想观察首次加载时间。2 秒+!显然,这个加载速度无法接受。于是便 ...
当贵
7 天前
511
0
7
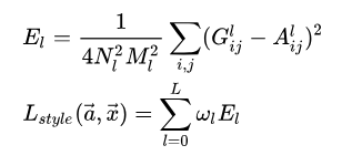
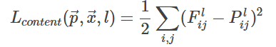
【深度学习基础】:VGG实战篇(图像风格迁移)
目录 [*]前言 [*]style transfer原理 [*]原理解析 [*]损失函数 [*]style transfer代码 [*]效果图 [*]fast style transfer 代码 [*]效果图 前言 本篇来带大家看看VGG的实战篇,这次来带大家看看计算机视觉中一个有趣的小任务,图 ...
闹忧踫
7 天前
791
0
1
一生一芯学习:pa2.1 RTFM
前面的内容后面再补,因为近期要C考核了,所以先准备下C考核所需的内容。 RTFSC(2) 整理一条指令在NEMU中的执行结果 从函数中跳转,宏嵌套中慢慢进入最终的代码,人肉gdb一下, 比如在sdb中执行一次si,那么根据cmd_si代码那我们会跳转到 ...
瞧厨
7 天前
548
0
4
下一页 »
1 ...
281
282
283
284
285
286
287
288
... 547
/ 547 页
下一页
返 回
快速发帖
还可输入
80
个字符
高级模式
B
Color
Image
Link
Quote
Code
Smilies
您需要登录后才可以发帖
登录
|
立即注册
本版积分规则
发表帖子
转播给听众
发帖
业界
收藏
10933
本版主题
0
收藏人数
板块介绍填写区域,请于后台编辑
财富榜{圆}
3934307807
991124
anyue1937
9994892
kk14977
6845357
4
xiangqian
638210
5
韶又彤
9997
6
宋子
9982
7
闰咄阅
9993
8
刎唇
9993
9
俞瑛瑶
9998
10
蓬森莉
9951
查看更多
社区公告
本月热榜
1009
精读 GitHub - servo 浏览器(一)
823
Java初尝试:电梯调度迭代开发
562
GPUStack v2:推理加速释放算力潜能,开源
367
小白也能看懂的RLHF:基础篇
783
读社会工程卷2:解读肢体语言01非语言交流
377
前端跨标签页通信方案(下)
724
基于LangGraph开发复杂智能体学习一则
229
痞子衡嵌入式:i.MXRT中FlexSPI外设速度上
916
Spring Security 鉴权流程与过滤器链深度剖
167
AWTK上使用Signal/Slot解决多页面同步的问
692
别再盲目地堆砌技术了!大部份大数据项目的
416
APEX实战第6篇:APEX 如何接入业务数据库用
588
对标MinIO!全新一代分布式文件系统诞生!
576
vue-dawn-flow 低代码流程插件
456
华为开发者空间,让根技术开发触手可及
899
有用的包 #Python
398
对于原型、原型链和继承的理解
316
.NET周刊【11月第2期 2025-11-09】
637
CSP-S2025做题记录
359
每周读书与学习->JMeter性能测试脚本编写实