登录
/
注册
首页
论坛
其它
首页
科技
业界
安全
程序
广播
Follow
关于
导读
排行榜
资讯
发帖说明
登录
/
注册
账号
自动登录
找回密码
密码
登录
立即注册
搜索
搜索
关闭
CSDN热搜
程序园
精品问答
技术交流
资源下载
本版
帖子
用户
软件
问答
教程
代码
写记录
写博客
小组
VIP申请
VIP网盘
网盘
联系我们
发帖说明
道具
勋章
任务
淘帖
动态
分享
留言板
导读
设置
我的收藏
退出
腾讯QQ
微信登录
社区
›
业界区
›
业界
业界
今日:
638
|
主题:
10933
收藏本版
(
0
)
推荐主题
应急响应-日志分析
当自己真的发布一款产品
用上了 Claude Code,才发现 Cursor 和 Gemini Cli 都是弱智
HEIF:更高质量、更小体积,开启 HarmonyOS 图像新体验
基于算法配对的电子管特性图示仪
阿里巴巴为什么禁止超过3张表join?
Claude Code 官方内部团队最佳实践!
hot100之数组
程序员必须要知道的编程范式,你掌握了吗?
一行代码实现鼠标横向滚动
开发的设计和重构,为开发效率服务
新窗
综合排序
最新主题
热门推荐
精选内容
蓝牙基础(三):蓝牙信道、跳频与选择算法
liwen01 2025.06.01 前言 蓝牙工作在 2.4GHZ ISM 频段,它与 2.4G WiFi 处于相同的频段。在经典蓝牙与 BLE 蓝牙之间,信道数、信道带宽、跳频机制、信道用途上都存在很大的区别。 这里我们将介绍蓝牙的信道、跳频、以及信道的选择算法。 ...
炳裘垦
2025-12-3 01:47
384
0
4
企业级MediaWiki知识库系统搭建部署指南(CentOS 8)
## 一、高级环境准备 ### 1. 系统优化与安全加固 ```bash # 系统更新与内核优化 sudo dnf update -y --security sudo dnf install kernel-tools tuned -y sudo tuned-adm profile throughput-performance # 安装高级安全工具 sudo ...
琦谓
2025-12-3 01:36
351
0
2
使用.NET 8+ 与飞书API构建组织架构同步服务
一、.NET生态下飞书API集成挑战 .NET企业应用场景 在现代企业数字化转型中,典型的.NET技术栈(如ASP.NET Core MVC/Web API, Entity Framework Core, SQL Server)构建的内部管理系统扮演着核心角色。这些系统承载着企业的关键业务流程 ...
榷另辑
2025-12-3 01:36
744
0
2
Kafka为什么吞吐量大,速度快?
前言 根据个人的经历,无论在工作中,还是即将要经历的面试,MQ这部分是肯定要了解的,虽然之前工作中一直使用Kafka但是一些详细的细节知识还是了解的不深,所以这次总结一波。 Kafka为什么吞吐量这么大还能这么快(高吞吐&低延迟)? ...
山芷兰
2025-12-3 01:34
401
0
5
译:从分布式微服务到单体
原文:https://www.primevideotech.com/video-streaming/scaling-up-the-prime-video-audio-video-monitoring-service-and-reducing-costs-by-90 从分布式微服务架构迁移到整体式应用程序有助于实现更高的规模、弹性并降低成本。 在Prime ...
里豳朝
2025-12-3 01:32
99
0
5
AI 大模型科普-概念向
我们是袋鼠云数栈 UED 团队,致力于打造优秀的一站式数据中台产品。我们始终保持工匠精神,探索前端道路,为社区积累并传播经验价值。 本文作者:奇铭 什么是大模型(LLM) 大模型(LLM)即大型语言模型(Large Language Model),它是 ...
戈森莉
2025-12-3 01:31
850
0
3
关于智能体(AI Agent),不得不看的一篇总结(建议收藏)
慷规扣
2025-12-3 01:30
66
0
3
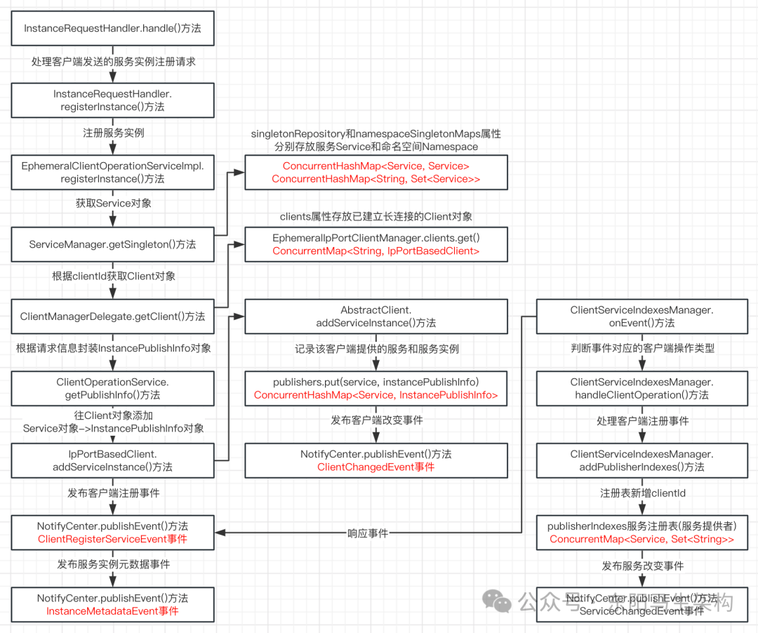
Nacos源码—6.Nacos升级gRPC分析一
大纲 1.Nacos 2.x版本的一些变化 2.客户端升级gRPC发起服务注册 3.服务端进行服务注册时的处理 4.客户端服务发现和服务端处理服务订阅的源码分析 1.Nacos 2.x版本的一些变化 变化一:客户端和服务端的交互方式由HTTP升级为gRPC Nacos ...
痨砖
2025-12-3 00:54
458
0
4
3D Gaussian Splatting 查看工具 splatviz
3D Gaussian Splatting 仓库自带的 SIBR Viewer 运行对显卡有要求, 需要 CUDA_ARCHITECTURE >= 7.x, 在 RTX 4060Ti 上可以运行, 但是在 P104-100 上就会提示"Sorry, need at least compute capability 7.0+!"后退出. 因此需要寻找一个兼 ...
敕码
2025-12-3 00:19
136
0
3
Next.js项目App目录如何简单集成markdown博客
文章原文:Next.js项目App目录如何简单集成markdown博客 此教程适用于比较简单的项目实现,如果你是刚入门next,并且不想用太复杂的方式去实现一个博客项目,那么这个教程就挺适合你的。 Next.js官方关于markdown的文档有说明过如何渲染m ...
郏琼芳
2025-12-2 23:57
245
0
4
<HarmonyOS主题课03 >构建灵活高效的消息推送能力#鸿蒙课程##鸿蒙生态#
课程介绍 本课程主要介绍了华为Push Kit服务的基本信息和应用。Push Kit是一个消息推送平台,它为所有HarmonyOS应用提供从云端到终端的消息推送通道。通过集成Push Kit,应用可以实时推送消息,提升用户的感知度和活跃度。课程主要 ...
司空娅玲
2025-12-2 23:55
154
0
3
.NET程序员的多语言笔记本:Polyglot Notebook
大家好,我是Edison。 之前在学习机器学习的时候,使用了Jupyter Notebook这个笔记本工具,我就在想.NET这边有没有类似的,今天就跟你介绍下Polyglot Notebook这个工具。 Notebook是什么鬼? Notebook是一种混合格式化文本和可执行代码 ...
扎先
2025-12-2 23:52
977
0
3
自己动手开发编译器(七)递归下降的语法分析器
上回我们说到语法分析使用的上下文无关语言,以及描述上下文无关文法的产生式、产生式推导和语法分析树等概念。今天我们就来讨论实际编写语法分析器的方法。今天介绍的这种方法叫做递归下降(recursive descent)法,这是一种适合手写语 ...
咫噎
2025-12-2 23:48
492
0
2
WatchAlert 轻量级AI日志告警 - Docker安装部署
来源:程序园用户自行投稿发布,如果侵权,请联系站长删除 免责声明:如果侵犯了您的权益,请联系站长,我们会及时删除侵权内容,谢谢合作!
赵淳美
2025-12-2 23:34
470
0
2
鸿蒙应用开发从入门到实战(十四):ArkUI组件Column&Row&线性布局
大家好,我是潘Sir,持续分享IT技术,帮你少走弯路。《鸿蒙应用开发从入门到项目实战》系列文章持续更新中,陆续更新AI+编程、企业级项目实战等原创内容、欢迎关注! ArkUI提供了丰富的系统组件,用于制作鸿蒙原生应用APP的UI,本文主要 ...
粉押淫
2025-12-2 23:14
593
0
4
用好索引的10条军规
前言 在大型系统性能瓶颈中,索引设计不当导致的性能问题占比超过60%。 经过多年的工作经历,我处理过多起数据库性能事故。 总结出索引设计的核心原则:索引不是越多越好,而是越精准越好。 这篇文章跟大家一起聊聊设计索引的10条军规, ...
冷晓晴
2025-12-2 22:12
1046
0
3
什么是南北向流量和东西向流量?
在云计算和微服务架构中,南北向流量和东西向流量是两种常见的流量模式。 南北向流量(North-South Traffic) 定义:南北向流量指的是从外部进入系统内部或从系统内部出去的流量,通常是客户端到服务器之间的通信,例如用户通过浏览器 ...
阴昭昭
2025-12-2 21:54
784
0
2
【踩坑系列】使用Comparator.comparing对中文字符串排序结果不对
1. 踩坑经历 假设有这样一个业务场景,需要对各个城市的订单量排序,排序规则为: 先根据订单量倒序排列,再根据城市名称正序排列。 示例代码: 预期结果: 北京 1000 上海 1000 广州 900 深圳 800 常州 700 成都 700 实际结果: OrderS ...
吕梓美
2025-12-2 21:35
825
0
3
Nacos源码—5.Nacos配置中心实现分析
大纲 1.关于Nacos配置中心的几个问题 2.Nacos如何整合SpringBoot读取远程配置 3.Nacos加载读取远程配置数据的源码分析 4.客户端如何感知远程配置数据的变更 5.集群架构下节点间如何同步配置数据 1.关于Nacos配置中心的几个问题 问题一 ...
万妙音
2025-12-2 21:11
361
0
7
内部类
什么是内部类 内部类是一个定义在另一个类内部的类。 内部类可分为四种: 1. 成员内部类: 定义在另一个类内部,且没有使用static修饰,且可以访问外部类所有的成员。要创建内部类的实例必须先存在外部类的实例。 2. 静态内部类:用stat ...
甄婉丽
2025-12-2 20:42
318
0
6
下一页 »
1 ...
440
441
442
443
444
445
446
447
... 547
/ 547 页
下一页
返 回
快速发帖
还可输入
80
个字符
高级模式
B
Color
Image
Link
Quote
Code
Smilies
您需要登录后才可以发帖
登录
|
立即注册
本版积分规则
发表帖子
转播给听众
发帖
业界
收藏
10933
本版主题
0
收藏人数
板块介绍填写区域,请于后台编辑
财富榜{圆}
3934307807
991124
anyue1937
9994892
kk14977
6845357
4
xiangqian
638210
5
韶又彤
9997
6
宋子
9981
7
闰咄阅
9993
8
刎唇
9993
9
俞瑛瑶
9998
10
蓬森莉
9950
查看更多
社区公告
本月热榜
1011
精读 GitHub - servo 浏览器(一)
827
Java初尝试:电梯调度迭代开发
163
Flask入门:轻松掌握API路由定义
562
GPUStack v2:推理加速释放算力潜能,开源
696
别再盲目地堆砌技术了!大部份大数据项目的
726
基于LangGraph开发复杂智能体学习一则
318
.NET周刊【11月第2期 2025-11-09】
289
国产化Excel开发组件Spire.XLS教程:使用Py
234
痞子衡嵌入式:i.MXRT中FlexSPI外设速度上
916
Spring Security 鉴权流程与过滤器链深度剖
589
⚠️登录认证功能的成长过程:整体概述
168
AWTK上使用Signal/Slot解决多页面同步的问
594
对标MinIO!全新一代分布式文件系统诞生!
612
YOLOv12/v11/v8/v5模型+Pyqt5界面+训练代码
577
vue-dawn-flow 低代码流程插件
467
华为开发者空间,让根技术开发触手可及
900
有用的包 #Python
398
对于原型、原型链和继承的理解
639
CSP-S2025做题记录
363
每周读书与学习->JMeter性能测试脚本编写实