登录
/
注册
首页
论坛
其它
首页
科技
业界
安全
程序
广播
Follow
关于
导读
排行榜
资讯
发帖说明
登录
/
注册
账号
自动登录
找回密码
密码
登录
立即注册
搜索
搜索
关闭
CSDN热搜
程序园
精品问答
技术交流
资源下载
本版
帖子
用户
软件
问答
教程
代码
写记录
写博客
小组
VIP申请
VIP网盘
网盘
联系我们
发帖说明
道具
勋章
任务
淘帖
动态
分享
留言板
导读
设置
我的收藏
退出
腾讯QQ
微信登录
社区
›
业界区
›
业界
业界
今日:
1201
|
主题:
10768
收藏本版
(
0
)
推荐主题
应急响应-日志分析
当自己真的发布一款产品
HEIF:更高质量、更小体积,开启 HarmonyOS 图像新体验
阿里巴巴为什么禁止超过3张表join?
开发的设计和重构,为开发效率服务
用上了 Claude Code,才发现 Cursor 和 Gemini Cli 都是弱智
我和AI不得不说的故事:现在是最好的时代也是最坏的时代
面试官:如何确保动态线程池任务都执行完?
[vue3] vue3 setup函数
Windows桌面应用自动更新解决方案SharpUpdater5发布
SQL Server中生成测试数据
新窗
综合排序
最新主题
热门推荐
精选内容
神器!免费替代Postman
今天给大家推荐一个神器 Hoppscotch,一个 完全免费 的 开源 API开发工具,用过的人都说好! 为什么选择 Hoppscotch?相信每个前端开发者都被 CORS 折磨过。Hoppscotch 内置代理服务,一键解决跨域问题,再也不用为配置代理而烦恼。 Hopp ...
寂傧
20 小时前
876
0
2
WM有约II(七):番外篇
WM有约II(七):番外篇 Written by Allen Lee 别让软键盘遮住屏幕! 如果你的手机带有数字键盘或者Qwerty键盘,那么你可能不会遇到这种问题;但若你和我一样偏爱全触摸手机,那么你可能已经受到这种问题困扰多时了。当我们打开 ...
甘子萱
20 小时前
157
0
6
千亿消息“过眼云烟”?Kafka把硬盘当内存用的性能魔法,全靠这一手!
Kafka 消息队列 Apache Kafka是一个开源的分布式消息队列,由LinkedIn公司开发并于2011年贡献给Apache软件基金会。Kafka被设计用来处理千亿量级的实时数据,被广泛应用于互联网大规模数据处理平台中。 Kafka强大的数据吞吐量,其中最重 ...
欧阳梓蓓
20 小时前
424
0
1
FastAPI 查询参数完全指南:从基础到高级用法
title: FastAPI 查询参数完全指南:从基础到高级用法 来源:程序园用户自行投稿发布,如果侵权,请联系站长删除 免责声明:如果侵犯了您的权益,请联系站长,我们会及时删除侵权内容,谢谢合作! ...
慎气
20 小时前
935
0
7
码农提高工作效率
俗话说,天下武功,唯快不破。也就是说要练成天下高手的话,出招速度一定要快,这样才能在江湖上立足,不至于掉了脑袋。而程序员要在IT界混出个名堂,也要有高效的工作效率才行。IT行业时时刻刻都产生着新知识、新技术,要想跟上变革肯定 ...
澹台吉星
20 小时前
211
0
3
不得不为LINQ说几句话,驳“LINQ已死”论
起因 近日不断看到有关“LINQ已死”,“LINQ玩完了吧”的言论,甚至于更有牛人说出“程序开发最终会回到本机代码上”,暂不说这些言论是否正确,且先来看看各位的惊人言论,下面仅摘录部分: 言论1 我看园子里还有蛮多人学习和 ...
强怀梅
20 小时前
594
0
4
深度学习基础理论————常见评价指标以及Loss Function
评价指标 准确率/精确率/召回率 争对正案例的计算: 1、准确率计算方式(ACC):\(Acc= \frac{TP+TN}{TP+TN+FP+FN}\) 2、精确率计算方式(Precision):\(\frac{TP}{TP+FP}\) 3、召回率计算方式(Recall):\(\frac{TP}{TP+FN}\) 4、F1 ...
祺簇
20 小时前
663
0
4
实用设计模式之二--Strategy模式续,Strategy模式在Windows Mobile网络连
以下文章为Policy-based design的想法,不是经典的Strategy模式。 本文主要讲述Strategy模式在Windows Mobile网络连接管理的应用。经过我的实用设计模式之二--关于Policy-based design的讨论,对Strategy模式进一步思考,有了一些新的 ...
劳暄美
20 小时前
346
0
5
Windows 7 BitLocker 体验
BitLocker最初是出现于Vista中的一种数据加密保护方式。可以加密整个操作系统分区,数据分区。能够与硬件TPM(Trusting Platform Module,多数商业用笔记本与台式机,服务器的主板均包括此组件)安全组件结合使用。BitLocke ...
艾晓梅
20 小时前
429
0
3
GDAL 2.X升级3.X需要注意的问题总结
1 引言 最近终于将使用的GDAL 2.X升级到成了3.X版本,总结一下遇到的各种问题。 2 详论 2.1 数据路径 GDAL 3.X以后深度依赖PROJ库,以前只是可选构建项,现在已经是必须构建项了。最直接的体现是如果涉及到空间参考相关的内容时,除了 ...
滥眩
20 小时前
318
0
5
.NET周刊【6月第3期 2025-06-15】
文章 C# 锁机制全景与高效实践:从 Monitor 到 .NET 9 全新 Lock https://www.cnblogs.com/code-daily/p/18924622 本文介绍了线程安全及锁的基本概念,强调了共享资源在多线程编程中的重要性。线程安全确保多个线程对同一资源的访问不 ...
挠溃症
21 小时前
282
0
3
【设计模式之禅】单一职责
最近前辈推荐我读《设计模式之禅》这本书,原因是我写的代码质量实在是一言难尽,开发速度很快,但是bug数就很多了,设计原则这种知识就需要掌握 写这篇文主要是记录自己的学习以及督促自己 第一章【单一职责】 从我理解的层 ...
荪俗
21 小时前
581
0
2
深入理解JavaScript系列(2):揭秘命名函数表达式
前言 网上还没用发现有人对命名函数表达式进去重复深入的讨论,正因为如此,网上出现了各种各样的误解,本文将从原理和实践两个方面来探讨JavaScript关于命名函数表达式的优缺点。 简单的说,命名函数表达式只有一个用户,那就是在Debug ...
萨瑞饨
21 小时前
92
0
4
蓝牙基础(一):蓝牙软硬件架构介绍
liwen01 2025.04.05 前言 随着物联网的发展,蓝牙已融入到我们生活的方方面面:手机、平板、手环、耳机、音响、智能灯泡、智能门铃、摄像机、冰箱、空调、洗衣机、血糖仪、键盘、鼠标等等。 关于蓝牙相关的芯片、协议栈、应用方案也因产 ...
欤夤
21 小时前
525
0
2
搞跨端渲染?你绕不开的HarfBuzz原理
本文是HarfBuzz系列的第二篇: 本文概述 一、关键概念与结构 1.1 script HarfBuzz 中 script 指的是文字系统的类型,注意不是指语言,不同语言也可能属于同一类书写系统,比如: 我们在从0到1自定义文字排版引擎:原理篇中有提到: ...
渭茱瀑
21 小时前
1032
0
4
我眼中的Visual Studio 2010架构工具
影响架构质量的是构建体系架构的思想、原则、实践与架构师的经验,绝不是工具。即使是最优秀的架构工具,也不可能像倚天宝剑一般——倚天一出,谁与争锋——似乎谁握住了这把利刃,就能够成为武林盟主。架构工具可以改善架构师的工作,却 ...
衣旱
21 小时前
540
0
3
从零开始学习 ASP.NET MVC 1.0 (三) Controller/Action 深入解析与
《从零开始学习ASP.NET MVC 1.0》 文章导航 [*](一) 开天辟地入门篇 [*](二) 识别URL的Routing组件 [*](三) Controller/Action 深入解析与应用实例 [*](四) View/Model 全解 [*](五) ViewEngine 深入解析与应用 ...
抽厉
21 小时前
533
0
2
利用DeepSeek与Python自动生成测试用例!
在当今快节奏的软件开发领域,自动化测试已然成为保障软件质量的中流砥柱。传统手动编写测试用例的方式,非但耗时费力,还极易遗漏关键场景。 所幸,AI 技术的飞速发展为我们带来了全新的解决方案。今天,就让我们一同探索如何借助 DeepS ...
恿榫
21 小时前
444
0
2
ASP.NET Cache的一些总结
1.1.1 摘要 最近我们的系统面临着严峻性能瓶颈问题,这是由于访问量增加,客户端在同一时间请求增加,这迫使我们要从两个方面解决这一问题,增加硬件和提高系统的性能。 大家可以通过各种各样的方法去优化我们系统,本篇博文将介绍 ...
劳暄美
21 小时前
739
0
9
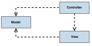
[一步一步MVC]第六回:什么是MVC(上)?
anytao.net | 《你必须知道的.NET》网站 | Anytao技术博客 发布日期:2009.05.10 作者:Anytao © 2009 Anytao.com ,Anytao原创作品,转贴请注明作者和出处。 引言 所谓MVC,其实就是M、V、C而已。归根揭底,MVC是一种表现模式,是 ...
澹台忆然
21 小时前
902
0
3
下一页 »
1 ...
50
51
52
53
54
55
56
57
58
... 539
/ 539 页
下一页
返 回
快速发帖
还可输入
80
个字符
高级模式
B
Color
Image
Link
Quote
Code
Smilies
您需要登录后才可以发帖
登录
|
立即注册
本版积分规则
发表帖子
转播给听众
发帖
业界
收藏
10768
本版主题
0
收藏人数
板块介绍填写区域,请于后台编辑
财富榜{圆}
anyue1937
9994893
kk14977
6845357
3934307807
991123
4
xiangqian
638210
5
韶又彤
9998
6
宋子
9983
7
闰咄阅
9993
8
刎唇
9993
9
俞瑛瑶
9998
10
蓬森莉
9951
查看更多
社区公告
本月热榜
813
Java初尝试:电梯调度迭代开发
228
痞子衡嵌入式:i.MXRT中FlexSPI外设速度上
558
GPUStack v2:推理加速释放算力潜能,开源
1000
精读 GitHub - servo 浏览器(一)
362
小白也能看懂的RLHF:基础篇
893
有用的包 #Python
356
每周读书与学习->JMeter性能测试脚本编写实
237
[源码系列:手写Spring] AOP第二节:JDK动
301
Linux 通用软件包 AppImage 打包详解
163
AWTK上使用Signal/Slot解决多页面同步的问
688
9 个步骤教你如何安全地迁移数据库或字段
689
腾讯云服务器手动安装 Docker 记录:好记性
406
APEX实战第6篇:APEX 如何接入业务数据库用
401
90%的OKR都写成了KPI?其实你缺的不是表格
205
详解 MicroPython 驱动中数据与业务逻辑的
771
读社会工程卷2:解读肢体语言01非语言交流
369
前端跨标签页通信方案(下)
398
VDI、DLP、RBI、企业浏览器等 6 种方案对比
1013
2025 ICPC 沈阳区域赛 游记
1011
基于DeepSeek-R1 15b微调训练自主的领域大
浏览过的版块
安全
软件
代码