找回密码
 立即注册
首页 业界区 业界 三级缓存解决了循环依赖问题?别被骗了,一级缓存就够了 ...

三级缓存解决了循环依赖问题?别被骗了,一级缓存就够了!

司马黛 2025-10-5 14:36:05
方案导入

循环依赖是什么

构造出两个对象A和B,A中有成员B,B中有成员A,换成代码就是这样子。
  1. @Component
  2. public class A {
  3.     @Autowired
  4.     private B b;
  5. }
  6. @Component
  7. public class B {
  8.     @Autowired
  9.     private A a;
  10. }
复制代码
循环依赖会带来什么问题

如果创建A对象,那必须注入B对象,注入B对象又需要创建A对象,如此反复,直到OOM
1.png

如何解决循环依赖问题

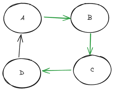
我们想象有这样一幅有向图,我们从A开始,到D结束,当执行到D的时候,D还是会继续执行,因为D不知道A是否被经过。
2.png

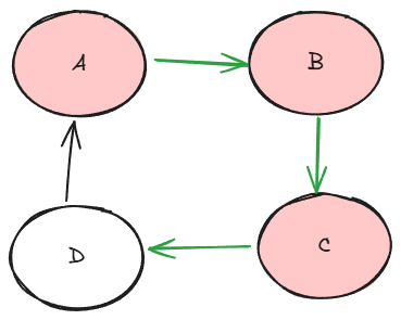
为了解决这一问题,我们只需要将经过的路径点染色就好了。
3.png

D发现A已经是红色,知道已经被途径过,主动结束循环。
我们很容易就能发现,循环依赖问题和图路径中是否有环问题是一样的,就能保证Bean(实例)不被重复创建。
4.png

联系Spring

都说Spring三级缓存解决了循环依赖问题,那我们就使用了一级缓存就解决了缓存依赖问题,spring的开发团队怎么会傻到用三级缓存解决问题,当然这句话可能还有一个歧义,第三层缓存区解决了缓存依赖问题,这同样也是错的,且听下文分析。
三级缓存是什么
  1. //  存储单例的Bean对象
  2. private final Map<String, Object> singletonObjects = new ConcurrentHashMap<>(256);
  3. //  存储早期曝光的单例Bean对象,只是一个Bean的引用,未初始化
  4. private final Map<String, Object> earlySingletonObjects = new ConcurrentHashMap<>(16);
  5. //  存储单例Bean对象的工厂
  6. private final Map<String, ObjectFactory<?>> singletonFactories = new ConcurrentHashMap<>(16);
复制代码
可见 getSingleton 的路径是 一级缓存 → 二级缓存  → 三级缓存,同时当从三级缓存中获取到早期对象时,直接放入二级缓存,删除三级缓存(后续的多次引用也是二级缓存),可见二级缓存+短暂的三级缓存相当于标记bean为已实例化,所以依赖三级缓存解决循环依赖显然是错的
那三级缓存(工厂)到底存储着什么,不是二级缓存就能解决问题了吗?我们在 doCreateBean 中可以看到以下代码。
  1. public Object getSingleton(String beanName) {
  2.         return getSingleton(beanName, true);
  3. }
  4.        
  5. protected Object getSingleton(String beanName, boolean allowEarlyReference) {
  6.     //从一级缓存中获取Bean
  7.     Object singletonObject = this.singletonObjects.get(beanName);
  8.     if (singletonObject == null && isSingletonCurrentlyInCreation(beanName)) {
  9.                 //从二级缓存中获取Bean
  10.         singletonObject = this.earlySingletonObjects.get(beanName);
  11.         if (singletonObject == null && allowEarlyReference) {
  12.                     //从三级缓存(工厂)中获取Bean
  13.             ObjectFactory<?> singletonFactory = this.singletonFactories.get(beanName);
  14.             if (singletonFactory != null) {
  15.                 singletonObject = singletonFactory.getObject();
  16.                 //从工厂中获取到 singletonObject 时,从工厂缓存中删去工厂,工厂创建的对象加入二级缓存
  17.                 if (this.singletonFactories.remove(beanName) != null) {
  18.                     this.earlySingletonObjects.put(beanName, singletonObject);
  19.                 }
  20.             }
  21.         }
  22.     }
  23.     return singletonObject;
  24. }
复制代码
证明了三级缓存以及二级缓存中的对象是引用对象,未被真正初始化,等于是一个懒加载,同样也不会造成循环依赖,因为其内部的对象没有只引用了实例化的对象,未被初始化。
getEarlyBeanReference 应该有关于Factory中的一些信息
  1.                 // 当前 Bean(例如 A)在实例化后、依赖注入和初始化完成前,是否需要将其作为“早引用”暴露给其他 Bean
  2.                 boolean earlySingletonExposure = (mbd.isSingleton() && this.allowCircularReferences &&
  3.                                 isSingletonCurrentlyInCreation(beanName));
  4.                 // 允许被早引用(早期曝光)
  5.                 if (earlySingletonExposure) {
  6.                         // 添加到单例工厂(三级缓存)
  7.                         addSingletonFactory(beanName, () -> getEarlyBeanReference(beanName, mbd, bean));
  8.                 }
  9.                
  10.                 // 被三级缓存添加后再进行初始化
  11.                 Object exposedObject = bean;
  12.                 populateBean(beanName, mbd, instanceWrapper);
  13.                 exposedObject = initializeBean(beanName, exposedObject, mbd);
复制代码
倘若没有经过字节码增强代码可以缩略成两行
  1.         protected Object getEarlyBeanReference(String beanName, RootBeanDefinition mbd, Object bean) {
  2.                 Object exposedObject = bean;
  3.                 // 是否被代理(AOP,字节码增强)
  4.                 if (!mbd.isSynthetic() && hasInstantiationAwareBeanPostProcessors()) {
  5.                         for (SmartInstantiationAwareBeanPostProcessor bp : getBeanPostProcessorCache().smartInstantiationAware) {
  6.                                 exposedObject = bp.getEarlyBeanReference(exposedObject, beanName);
  7.                         }
  8.                 }
  9.                 return exposedObject;
  10.         }
复制代码
诶卧槽,这不是啥也没干!
三级缓存只参与了AOP对象的返回,解决bean的AOP代理问题
下图展示了bean的初始化过程
5.png

那我们现在可以得出以下结论了:

  • 第一级缓存用来简单返回缓存后的bean对象。
  • 第二级缓存就可以解决循环依赖问题。
  • 二三级缓存只保留了实例化的bean,未初始化,不会导致循环依赖。
  • 第三级缓存用来解决Bean的代理类的实例化问题。

如果这篇文章对你有所帮助,请给我点个赞。你的肯定会让我非常开心。
来源:程序园用户自行投稿发布,如果侵权,请联系站长删除
免责声明:如果侵犯了您的权益,请联系站长,我们会及时删除侵权内容,谢谢合作!

相关推荐

您需要登录后才可以回帖 登录 | 立即注册