登录
/
注册
首页
论坛
其它
首页
科技
业界
安全
程序
广播
Follow
关于
导读
排行榜
资讯
发帖说明
登录
/
注册
账号
自动登录
找回密码
密码
登录
立即注册
搜索
搜索
关闭
CSDN热搜
程序园
精品问答
技术交流
资源下载
本版
帖子
用户
软件
问答
教程
代码
写记录
写博客
小组
VIP申请
VIP网盘
网盘
联系我们
发帖说明
道具
勋章
任务
淘帖
动态
分享
留言板
导读
设置
我的收藏
退出
腾讯QQ
微信登录
返回列表
首页
›
业界区
›
安全
›
leetcode每日一题:图中的最长环
leetcode每日一题:图中的最长环
[ 复制链接 ]
砂歹汤
2025-6-1 19:10:16
猛犸象科技工作室:
网站开发,备案域名,渗透,服务器出租,DDOS/CC攻击,TG加粉引流
题目
2360. 图中的最长环
给你一个 n 个节点的
有向图
,节点编号为 0 到 n - 1 ,其中每个节点
至多
有一条出边。
图用一个大小为 n 下标从
0
开始的数组 edges 表示,节点 i 到节点 edges
之间有一条有向边。如果节点 i 没有出边,那么 edges
== -1 。
请你返回图中的
最长
环,如果没有任何环,请返回 -1 。
一个环指的是起点和终点是
同一个
节点的路径。
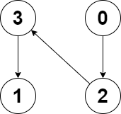
示例 1:
输入:edges = [3,3,4,2,3]
输出去:3
解释:图中的最长环是:2 -> 4 -> 3 -> 2 。
这个环的长度为 3 ,所以返回 3 。
复制代码
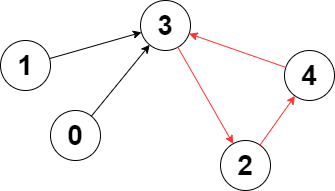
示例 2:
输入:edges = [2,-1,3,1]
输出:-1
解释:图中没有任何环。
复制代码
提示:
<ul>n == edges.length
2
leetcode
每日
一题
中的
最长
相关帖子
SQL中的CTE用法初步(Common Table Expression公共表表达式)
UEFI 中的杂项知识总结-Protocol Handle 机制的详细介绍
【人工智能时代】-带你秒懂Dify中的Chatflow和Workflow
【GitHub每日速递 20251211】开源免费!OpenCode——能在终端畅用的AI编码神器来袭
轻量化网络中的知识蒸馏技术
卷积基础知识(四)池化操作与卷积中的反向传播
postgreSQL 中的自定义操作符
理解整数在计算机中的表示
JUnit 5 中的 @ClassTemplate 实战指南
【GitHub每日速递 20251222】Paru:功能爆棚的AUR助手,安装使用全攻略大揭秘!
回复
使用道具
举报
提升卡
置顶卡
沉默卡
喧嚣卡
变色卡
千斤顶
照妖镜
相关推荐
业界
SQL中的CTE用法初步(Common Table Expression公共表表达式)
1
641
尸酒岐
2025-12-05
业界
UEFI 中的杂项知识总结-Protocol Handle 机制的详细介绍
2
218
嗅叽
2025-12-10
业界
【人工智能时代】-带你秒懂Dify中的Chatflow和Workflow
1
334
账暴
2025-12-10
安全
【GitHub每日速递 20251211】开源免费!OpenCode——能在终端畅用的AI编码神器来袭
1
966
孩负范
2025-12-11
科技
轻量化网络中的知识蒸馏技术
5
321
全阳霁
2025-12-11
业界
卷积基础知识(四)池化操作与卷积中的反向传播
1
202
闰咄阅
2025-12-11
业界
postgreSQL 中的自定义操作符
2
839
蔺堰
2025-12-13
业界
理解整数在计算机中的表示
0
480
懵径
2025-12-13
业界
JUnit 5 中的 @ClassTemplate 实战指南
0
721
唯棉坜
2025-12-16
安全
【GitHub每日速递 20251222】Paru:功能爆棚的AUR助手,安装使用全攻略大揭秘!
0
326
贼瘁
2025-12-22
回复
(5)
湛恶
2025-10-15 10:28:59
回复
使用道具
举报
照妖镜
猛犸象科技工作室:
网站开发,备案域名,渗透,服务器出租,DDOS/CC攻击,TG加粉引流
用心讨论,共获提升!
驼娑
2025-11-5 00:36:29
回复
使用道具
举报
照妖镜
猛犸象科技工作室:
网站开发,备案域名,渗透,服务器出租,DDOS/CC攻击,TG加粉引流
感谢分享,学习下。
忌才砟
2025-12-1 01:36:36
回复
使用道具
举报
照妖镜
程序园永久vip申请,500美金$,无限下载程序园所有程序/软件/数据/等
新版吗?好像是停更了吧。
左丘雅秀
4 天前
回复
使用道具
举报
照妖镜
程序园永久vip申请,500美金$,无限下载程序园所有程序/软件/数据/等
这个有用。
贼瘁
3 天前
回复
使用道具
举报
照妖镜
猛犸象科技工作室:
网站开发,备案域名,渗透,服务器出租,DDOS/CC攻击,TG加粉引流
新版吗?好像是停更了吧。
高级模式
B
Color
Image
Link
Quote
Code
Smilies
您需要登录后才可以回帖
登录
|
立即注册
回复
本版积分规则
回帖并转播
回帖后跳转到最后一页
签约作者
程序园优秀签约作者
发帖
砂歹汤
3 天前
关注
0
粉丝关注
25
主题发布
板块介绍填写区域,请于后台编辑
财富榜{圆}
3934307807
991124
anyue1937
9994892
kk14977
6845358
4
xiangqian
638210
5
韶又彤
9997
6
宋子
9981
7
闰咄阅
9993
8
刎唇
9993
9
俞瑛瑶
9998
10
蓬森莉
9949
查看更多
今日好文热榜
145
AI生成论文靠谱吗?精选9款AI写论文工具教
304
Geotransform代码解读
278
后端生成的URL中含base64参数值,经tomcat
289
后端生成的URL中含base64参数值,经tomcat
908
JupyterLab详解、应用场景及案例分析(AI)
881
追踪链路--使用envoy来记录后端pod真实ip
880
从 MCP 到 Agent Skills,AI Ready 的 .NET
476
STM32软件IIC通信驱动文件(附下载地址)
681
从零实现富文本编辑器#9-编辑器文本结构变
634
Spring+MyBatis环境下SqlSession管理机制详
934
Lit 架构解析:从 Web Components 到 lit-h
322
AI生成UI界面工具测评:8款主流设计工具的
34
JAVA 使用国密 SM4 加解密
153
Minio开始收费了?别慌,这5种免费的分布式
29
vue 甘特图 vxe-gantt 手动增加一条依赖线
642
荣耀再续 | 蚁景科技卫冕第138届广交会测试
105
荣耀再续 | 蚁景科技卫冕第138届广交会测试
935
上周热点回顾(12.15-12.21)
834
国产化Word处理组件Spire.DOC教程:通过Pyt
477
架构师必备:后端程序员需要了解的数仓知识