登录
/
注册
首页
论坛
其它
首页
科技
业界
安全
程序
广播
Follow
关于
导读
排行榜
资讯
发帖说明
登录
/
注册
账号
自动登录
找回密码
密码
登录
立即注册
搜索
搜索
关闭
CSDN热搜
程序园
精品问答
技术交流
资源下载
本版
帖子
用户
软件
问答
教程
代码
写记录
写博客
小组
VIP申请
VIP网盘
网盘
联系我们
发帖说明
道具
勋章
任务
淘帖
动态
分享
留言板
导读
设置
我的收藏
退出
腾讯QQ
微信登录
返回列表
首页
›
业界区
›
业界
›
全差分放大器(FDA)电路设计计算及电压范围估算方法[原 ...
全差分放大器(FDA)电路设计计算及电压范围估算方法[原创www.cnblogs.com/helesheng]
[ 复制链接 ]
颐港
2025-9-23 11:57:50
程序园永久vip申请,500美金$,无限下载程序园所有程序/软件/数据/等
一、全差分放大器(FDA)的基本原理
从信号中去除或者向信号中加入共模信号需要用到减法器电路,如下图所示。这是个教科书上的电路,它对两个输入端上的电压做减法后,乘以增益G后,叠加到参考电压(图中Ref端上的电压)上。从而实现电路工作点的移动。
图1 模拟减法器
为了从差分信号中去除共模信号,使用一路图1所示电路即可:将差分信号从R1和R3的左侧接入即可,输出的共模信号连接到Ref端即可。图1电路的的缺点是R2/R1、R4/R3必须严格相等,否则将应向电路的共模抑制比(CMRR),所以最好使用放大器中集成R1~R4的现成放大器(如仪用放大器等)。去除共模信号的需求,在电流采样、生物电信号放大、热敏电阻转换等应用中使用非常广泛,这里不再赘述。
减法器的另一类应用是反过来将单端信号转换回两路全差分信号。这种应用需求,最常出现在全差分模数转换器(ADC)的驱动电路中。其作用是将单端或差分信号转换为相对于固定共模电压(一般为1/2Vcc),相位相反的一对差分信号,如图2所示。方法是用图1所示的模拟加法器,对虚线所示的单端输入信号和衰减1/2,同时加入1/2的电源电压作为共模电压,得到图中红色的信号;然后再对这个信号反相以求得图中绿色的信号。用分离元件和运放来实现图2所示的信号变换的电路可以参考拙作:https://www.cnblogs.com/helesheng/p/15583047.html中图1的电路。但各大半导体厂商都有自己集成的“全差分放大器”(FDA)解决方案来实现对高速ADC的驱动功能。本文主要探讨这类FDA放大器的计算问题和使用时容易踩的坑。
以下原创内容欢迎网友转载,但请注明出处: https://www.cnblogs.com/helesheng
图2 全差分信号
(全差分放大器的作用通常是将虚线所示的单端信号变换为全差分ADC所需要的要红色和绿色曲线所示的对称的全差分信号)
二、FDA电路设计的基本方法
图3是ADI公司经典的全差分放大器AD8132的典型电路。
图3 AD8132典型电路
一般设计时应使用以下原则:
1、VOCM是外部电路输入的输出信号的共模电压,一般是一个直流或者接近直流的电压值,大小为后端ADC参考电压VREF的1/2。2、FDA开环增益和输入阻抗很大,只要负反馈成立,同相输入端+IN和反相输入端-IN之间满足“虚断”和“虚断”的原则。3、为实现所谓“全差分”,同相端和反相端的反馈系数应相同,以避免两侧增益不等。一般取如图所示取两个反馈电阻RF相等,输入电阻RG相等。增益k=RF/RG4、注意反馈必须是负的,因此反相输出端反馈到同相输入端,同相输出端反馈到反相输入端,不要搞反!5、输入信号的实质是+DIN和-DIN之差,一般两者之差不应含有直流分量。
三、FDA输入绝对电压范围的计算
作为一个纯粹的线性电路,FDA同样要求自己的输入电压和输出电压在电源轨(Rail)之内,甚至要求出足够的电压裕量(Head Room)。以AD8132为例,其两个输入端对低电压侧的电压裕量至少为0.3V,对高电压侧的电压裕量至少为2.0V,假设AD8132的电源电压为3.0V,则只有当+IN和-IN两个管脚的绝对电压值都在0.3V~1V范围内(以下推导中假设这个上下限为VΔ-和VΔ+),AD8132才能正常工作。这就要求我们控制输入电压+DIN和-DIN的绝对值,以保证+IN和-IN都在VΔ-和VΔ+范围内。下面以FDA做单端到差分转换,增益为k为例的电路为例来计算输入单端信号的绝对电压范围。
图4 FDA实现单端信号到差分信号转化电路
有前面提到的FDA的功能,两个输出端的电压为共模输入加减k倍输入的一半:
[注意保证VO+和VO-都在FDA的输出信号轨(各自距离电源轨1V左右)以内]
由虚断得到:
由虚短得到:
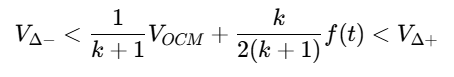
保证+IN和-IN都在VΔ-和VΔ+范围内有:
代入得到:
解得输入信号的范围:
(1)
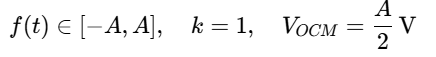
这个解析解有点麻烦,举个实例可能更容易理解。若电源电压使用3V的AD8132 ,增益k为1,ADC的参考电压为2.5V,输出共模电压VOCM设置为参考电压的一半1.25V,把VΔ-和VΔ+为0.3和1V代入可以解得:
f(t)应在-1.3V到1.5V之间。这个结果其实预示了输入在FDA使用3V电源情况下,使用1倍增益,ADC输入信号范围无法做到-2.5V~+2.5V或0~+2.5V的最佳动态范围要求。需要增大FDA的电源电压。
四、反推FDA所需的电源电压
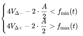
我们反推一下,在k=1条件下,共模电压为A/2时,为获得对称的A信号幅度,需要多高的电源电压。
即:
代入上面的(1)式得到
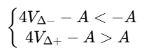
将f(t)的最大值和最小值代入+A和-A,整理得到 :
即
(2)
上面(2)式中比较难以满足的是第一个,由于负电源轨电压裕量(head room)的存在,要求FDA具备负电源。第二个不等式也要求电源电压不能太低,当然这个要求相对容易做到。
来源:程序园用户自行投稿发布,如果侵权,请联系站长删除
免责声明:如果侵犯了您的权益,请联系站长,我们会及时删除侵权内容,谢谢合作!
差分
放大器
FDA
电路设计
计算
相关帖子
全差分放大器(FDA)电路设计/计算及电压范围估算方法
FHEVM 保护区块链数据计算,Trivy 堵住全链路漏洞,看完直接收藏
基于函数计算 FC Sandbox 方案实现类
奖励计算公式不要轻易采用 balanceOf 做参数呀!
读浪潮将至09脆弱性放大器
SQL进阶必备:从计算字段到多表联结,让查询效率翻倍!
高性能计算实践-OpenCV图像矩阵转置 transpose SIMD加速(ippicv)复现
回复
使用道具
举报
提升卡
置顶卡
沉默卡
喧嚣卡
变色卡
千斤顶
照妖镜
相关推荐
业界
全差分放大器(FDA)电路设计/计算及电压范围估算方法
2
114
焦听云
2025-11-01
安全
FHEVM 保护区块链数据计算,Trivy 堵住全链路漏洞,看完直接收藏
3
953
支季雅
2025-11-03
安全
基于函数计算 FC Sandbox 方案实现类
4
116
笃迩讦
2025-11-03
安全
奖励计算公式不要轻易采用 balanceOf 做参数呀!
2
670
表弊捞
2025-11-05
科技
读浪潮将至09脆弱性放大器
3
808
衣旱
2025-11-08
业界
SQL进阶必备:从计算字段到多表联结,让查询效率翻倍!
3
836
吕梓美
2025-11-18
业界
高性能计算实践-OpenCV图像矩阵转置 transpose SIMD加速(ippicv)复现
2
1018
觞刈
2025-11-19
回复
(2)
髭赌
2025-11-24 09:44:11
回复
使用道具
举报
照妖镜
程序园永久vip申请,500美金$,无限下载程序园所有程序/软件/数据/等
喜欢鼓捣这些软件,现在用得少,谢谢分享!
亢安芙
2025-12-10 01:32:13
回复
使用道具
举报
照妖镜
猛犸象科技工作室:
网站开发,备案域名,渗透,服务器出租,DDOS/CC攻击,TG加粉引流
鼓励转贴优秀软件安全工具和文档!
高级模式
B
Color
Image
Link
Quote
Code
Smilies
您需要登录后才可以回帖
登录
|
立即注册
回复
本版积分规则
回帖并转播
回帖后跳转到最后一页
浏览过的版块
科技
签约作者
程序园优秀签约作者
发帖
颐港
2025-12-10 01:32:13
关注
0
粉丝关注
14
主题发布
板块介绍填写区域,请于后台编辑
财富榜{圆}
3934307807
991124
anyue1937
9994891
kk14977
6845357
4
xiangqian
638210
5
韶又彤
9997
6
宋子
9982
7
闰咄阅
9993
8
刎唇
9993
9
俞瑛瑶
9998
10
蓬森莉
9951
查看更多
今日好文热榜
605
alist如何将默认布局设置为图片布局
1011
Kali2025.4+Cherry Studio一键配置HexStrik
419
PHP 之高级面向对象编程 深入理解设计模式
416
PHP 之高级面向对象编程 深入理解设计模式
572
升级curl版本,及升级后引起的动态库链接不
294
2025年GEO优化服务商全景对比:五大核心维
779
AI Agent详解
983
Buildah 简明教程:让镜像构建更轻量,告别
610
OceanBase 在滴滴大规模运维经验以及新功能
975
[CSS+]HTML Learn Data Day 2
96
掌握相关性分析:读懂数据间的“悄悄话”
138
嵌入式UI框架-抗锯齿画圆弧算法
935
嵌入式UI框架的渐变原理、渐变算法
220
日本股票 API 对接实战指南(实时行情与 IP
563
解决Docker磁盘空间告急:认识并清理“悬空
394
别再只会算直线距离了!用“马氏距离”揪出
530
企业进行信息化后,一定会提高效率吗?真相
516
n8n整合ffmpeg
492
从random随机数看验证码重复数字
525
OceanBase 向量索引优化指南